Od 22 listopada zmiana organizacji ruchu w związku z budową Obwodnicy Witomina. Szczegóły w komunikacie.
Co nowego

Środki dla dzielnic na zadania inwestycyjno-remontowe na lata 2026-2029

Mat. prasowe

Mat. prasowe

18 grudnia podczas XII sesji Rady Miasta Gdyni radni jednogłośnie przyjęli uchwałę w sprawie ustalenia wysokości środków na zadania inwestycyjno-remontowe dzielnic na lata 2026-2029.


Projekt uchwały podczas ostatniej tegorocznej sesji Rady Miasta przedstawił dyrektor zarządzający ds. kultury i aktywności mieszkańców Mariusz Bzdęga. W uchwale została ustalona wysokość środków na zadania inwestycyjno-remontowe w 20 dzielnicach na lata 2026-2029 w kwocie 30 000 000 zł, środki te zostaną rozdysponowane wg harmonogramu:
  • w 2026 roku – 8 000 000 zł,
  • w 2027 roku – 8 000 000 zł,
  • w 2028 roku – 10 000 000 zł,
  • w 2029 roku – 4 000 000 zł.

Metodę naliczania środków na poszczególne dzielnice ustalono w ten sposób, że na każdą z dzielnic przydzielona zostanie kwota bazowa w wysokości 350 000 zł. Pozostała kwota dzielona będzie następująco:
  • 50% - proporcjonalnie do liczby mieszkańców dzielnic;
  • 50% - proporcjonalnie do powierzchni poszczególnych dzielnic (z wyłączeniem terenów leśnych i portowych terenów przemysłowych oraz terenów zamkniętych, a z uwzględnieniem terenów mieszkalnych w porcie).
Naliczenia powyższych kwot rocznych będą dokonywane przez Prezydent Miasta Gdyni w projekcie uchwały budżetowej.

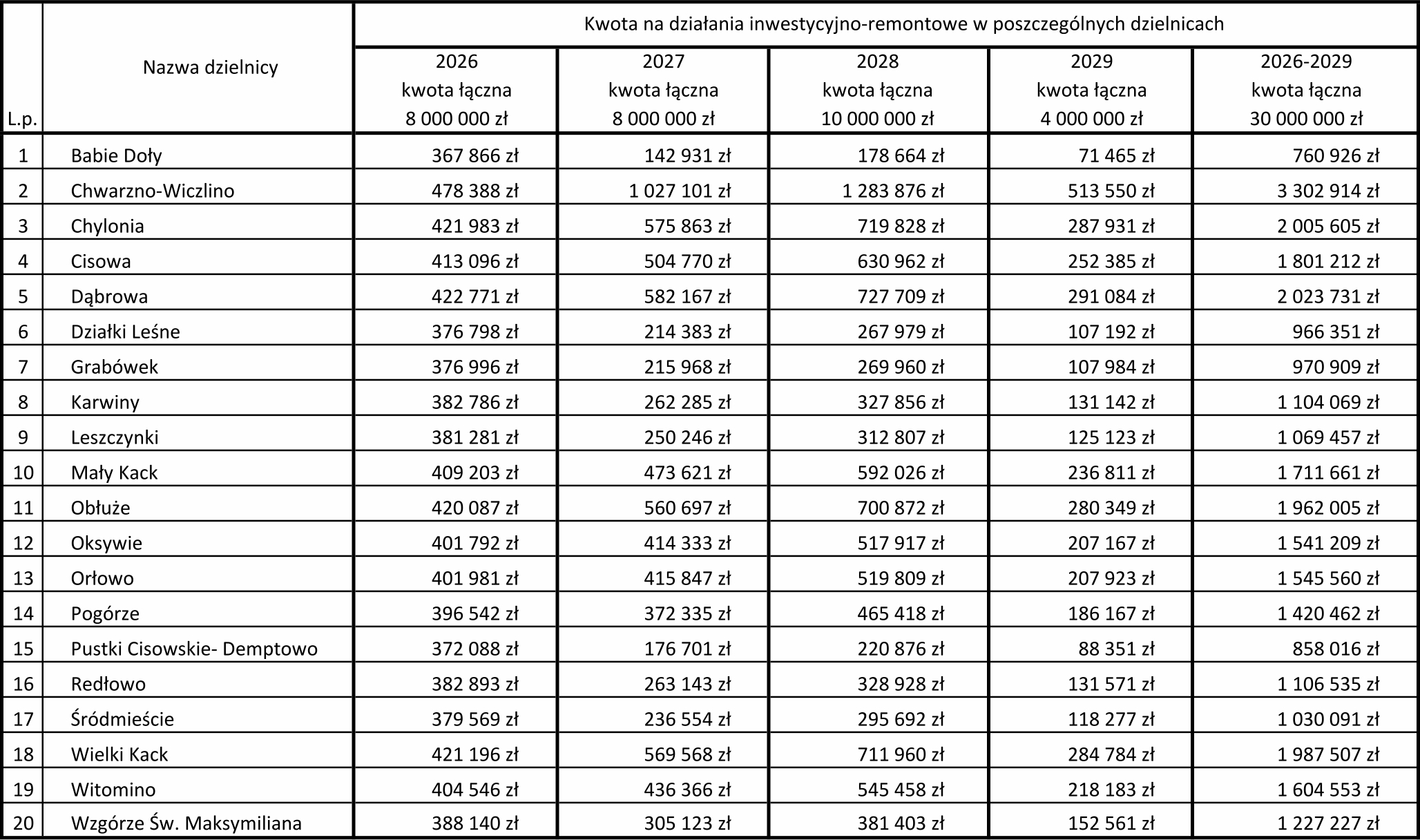
Kwoty na działania inwestycyjno-remontowe w poszczególnych dzielnicach przedstawia poniższa tabela.

Tabela z kwotami na działania inwestycyjno-remontowe w poszczególnych dzielnicach

W związku z rozwiązaniem rady dzielnicy Kamienna Góra, w najbliższym czasie zapadną decyzje, w jaki sposób miasto Gdynia zagwarantuje realizację zadań inwestycyjnych i remontowych w tej dzielnicy.

Bardzo cieszymy się, że tak ważna uchwała została przegłosowana jednogłośnie. Obecnie pracujemy nad projektem zarządzenia, które w szczegółowy sposób będzie określało procedury wyłaniania zadań inwestycyjno-remontowych dzielnic na lata 2026-2029. Natomiast w nadchodzącym roku będziemy realizowali zaległości z poprzednich lat i wyłonimy nowe zadania w ścisłej współpracy z poszczególnymi jednostkami m.in.: ZDiZ i Wydziałem Inwestycji. Będziemy organizowali spotkania z radnymi dzielnic, aby dokładnie sprecyzować, jakie potrzeby mają poszczególne dzielnice i dołożymy wszelkich starań aby zadania inwestycyjno-remontowe były realizowane terminowo i zgodnie z ustalonym harmonogramem. Naszym celem jest zapewnienie transparentności i efektywności w realizacji tych projektów, aby jak najlepiej odpowiadały na potrzeby mieszkańców. – mówi dyrektor zarządzający ds. kultury i aktywności mieszkańców Mariusz Bzdęga.

Uchwała nr XII/296/24 w sprawie ustalenia wysokości środków na zadania inwestycyjno-remontowe dzielnic na lata 2026-2029 wchodzi w życie 18 grudnia 2024 r.

  • ikonaOpublikowano: 20.12.2024 14:55
  • ikona

    Autor: Joanna Majchrowska (joanna.majchrowska@gdynia.pl)

  • ikonaZmodyfikowano: 23.12.2024 09:30
  • ikonaZmodyfikował: Paweł Jałoszewski
ikona

Najnowsze